1. BFS(Breadth-First Search)
너비 우선탐색이라고 부르며, 가까운 노드부터 탐색하는 알고리즘이다. 선입선출 방식인 큐 자료구조를 이용하고, 인접한 노드를 반복적으로 큐에 넣도록 알고리즘을 작성하면 자연스럽게 먼저 들어온 것이 먼저 나가게 되어, 가까운 노드부터 탐색을 진행하게 된다.
BFS 동작 과정
- 탐색 시작 노드를 큐에 삽입하고 방문 처리를 한다.
- 큐에서 노드를 꺼내 해당 노드의 인접 노드 중에서 방문하지 않은 노드를 모두 큐에 삽입하고 방문 처리를 한다.
- 2번의 과정을 더 이상 수행할 수 없을 때까지 반복한다.
cf) 방문처리 : 스택에 한 번 삽입되어 처리된 노드가 다시 삽입되지 않게 체크하는 것을 의미한다. 방문처리를 함으로써 각 노드를 한 번씩만 처리할 수 있다.

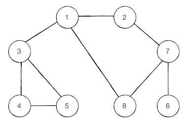
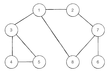
위 그래프의 순서는 1 → 2 → 3 → 8 → 7 → 4 → 5 → 6 이 된다.
너비 우선 탐색 알고리즘인 BFS는 큐 자료구조에 기초한다는 점에서 구현이 간단하다. 실제로 구현함에 있어 deque 라이브러리를 사용하는 것이 좋으며 탐색을 수행함에 있어 O(N)의 시간이 소요된다. 일반적인 경우 실제 수행 시간은 DFS보다 좋은 편이다.
from collections import deque
# BFS 메서드 정의
def bfs(graph, start, visited):
# 큐(Queue) 구현을 위해 deque 라이브러리 사용
queue = deque([start])
# 현재 노드를 방문 처리
visited[start] = True
# 큐가 빌 때까지 반복
while queue:
# 큐에서 하나의 원소를 뽑아 출력
v = queue.popleft()
print(v, end=' ')
# 해당 원소와 연결된, 아직 방문하지 않은 원소들을 큐에 삽입
for i in graph[v]:
if not visited[i]:
queue.append(i)
visited[i] = True
# 각 노드가 연결된 정보를 리스트 자료형으로 표현(2차원 리스트)
graph = [
[], # 0번 노드에 연결된 노드 리스트
[2, 3, 8], # 1번 노드에 연결된 노드 리스트
[1, 7], # 2번 노드에 연결된 노드 리스트
[1, 4, 5], # 3번 노드에 연결된 노드 리스트
[3, 5], # 4번 노드에 연결된 노드 리스트
[3, 4], # 5번 노드에 연결된 노드 리스트
[7], # 6번 노드에 연결된 노드 리스트
[2, 6, 8], # 7번 노드에 연결된 노드 리스트
[1, 7] # 8번 노드에 연결된 노드 리스트
]
# 각 노드가 방문된 정보를 리스트 자료형으로 표현(1차원 리스트)
visited = [False] * 9
# 정의된 BFS 함수 호출
bfs(graph, 1, visited)
# 1 2 3 8 7 4 5 6
문제) 미로 탈출
동빈이는 N ⅹ M 크기의 직사각형 형태의 미로에 갇혀 있다. 미로에는 여러 마리의 괴물이 있어 이를 피해 탈출해야 한다. 동빈이의 위치는 (1, 1)이고, 미로의 출구는 (N, M)의 위치에 존재하며 한번에 한 칸씩 이동할 수 있다. 이때 괴물이 있는 부분은 0으로, 괴물이 없는 부분은 1로 표시되어 있다. 미로는 반드시 탈출할 수 있는 형태로 제시된다. 이때 동빈이가 탈출하기 위해 움직여야 하는 최소 칸의 개수를 구하시오. 칸을 셀 때는 시작 칸과 마지막 칸을 모두 포함해서 계산한다.
from collections import deque
n, m = map(int, input().split())
# 2차원 리스트의 맵 정보 입력받기
graph = []
for i in range(n):
graph.append(list(map(int, input())))
# 이동할 네 방향 정의(상, 하, 좌, 우)
dx = [0, 0, -1, 1]
dy = [1, -1, 0, 0]
def bfs(x,y):
# 큐(Queue) 구현을 위해 deque 라이브러리 사용
queue = deque()
queue.append((x,y))
# 큐가 빌 때까지 반복
while queue:
x, y = queue.popleft()
# 현재 위치에서 네 방향으로의 위치 확인
for i in range(4):
nx = x + dx[i]
ny = y + dy[i]
# 미로 찾기 공간을 벗어난 경우 무시
if nx < 0 or ny < 0 or nx >= n or ny >= m:
continue
# 벽인 경우 무시
if graph[nx][ny] == 0:
continue
# 해당 노드를 처음 방문하는 경우에만 최단 거리 기록
if graph[nx][ny] == 1:
graph[nx][ny] = graph[x][y] + 1
queue.append((nx, ny))
# 가장 오른쪽 아래까지의 최단 거리 반환
return graph[n - 1][m - 1]
print(bfs(0, 0))
'이것이 코딩테스트다'를 읽고 공부한 내용을 바탕으로 작성하였습니다.
'Python > 이것이 코딩테스트다' 카테고리의 다른 글
| [Python] 10. DFS (0) | 2022.11.22 |
|---|---|
| [Python] 09. 스택, 큐, 재귀 함수 (0) | 2022.11.21 |
| [Python] 8. 구현 (0) | 2022.11.17 |
| [Python] 7. 그리디 (0) | 2022.11.15 |
| [Python] 6. 순열과 조합 (0) | 2022.11.14 |