1. DFS(Depth-First Search)
깊이 우선 탐색이라고 부르며, 그래프에서 깊은 부분을 우선적으로 탐색하는 알고리즘이다.
2. 그래프(Graph)
노드(Node)와 간선(Edge)으로 표현되며 이때 노드를 정점(Vertex)이라고도 말한다. 그래프 탐색이란 하나의 노드를 시작으로 다수의 노드를 방문하는 것을 말한다. 또한 두 노드간 간선으로 연결되어 있다면 '두 노드는 인접하다(Adjacent)'라고 표현한다.
- 인접 행렬(Adjacency Matrix) : 2차원 배열로 그래프의 연결 관계를 표현하는 방식
- 인접 리스트(Adjacency List) : 리스트로 그래프의 연결 관계를 표현하는 방식
인접 행렬(Adjacency Matrix)

2차원 배열에 각 노드가 연결된 형태를 기록하는 방식이다.
INF = 999999999 # 무한의 비용 선언
# 2차원 리스트를 이용해 인접 행렬 표현
graph = [
[0, 7, 5],
[7, 0, INF],
[5, INF, 0]
]
print(graph)
# [[0, 7, 5], [7, 0, 999999999], [5, 999999999, 0]]
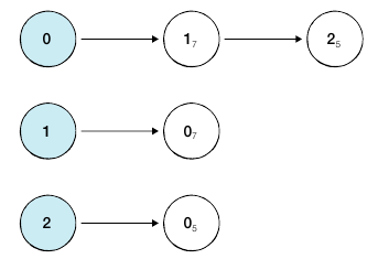
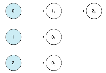
인접 리스트(Adjacency List)
모든 노드에 연결된 노드에 대한 정보를 차례대로 연결하여 저장한다.

파이썬은 기본 자료형인 리스트 자료형이 append() 메소드를 제공하므로, 전통적인 프로그래밍 언어에서의 배열과 연결 리스트의 기능을 모두 기본으로 제공한다. 파이썬으로 인접 리스트를 이용해 그래프를 표현하고자 할 때에는 단순히 2차원 리스트를 이용하면 된다는 점을 기억하자.
# 행(Row)이 3개인 2차원 리스트로 인접 리스트 표현
graph = [[] for _ in range(3)]
# 노드 0에 연결된 노드 정보 저장(노드, 거리)
graph[0].append((1, 7))
graph[0].append((2, 5))
# 노드 1에 연결된 노드 정보 저장(노드, 거리)
graph[1].append((0, 7))
# 노드 2에 연결된 노드 정보 저장(노드, 거리)
graph[2].append((0, 5))
print(graph)
# [[(1, 7), (2, 5)], [(0, 7)], [(0, 5)]]
인접 행렬과 인접 리스트의 차이점
메모리 측면
- 인접 행렬(Adjacency Matrix) : 모든 관계를 저장하므로 노드 개수가 많을수록 불필요한 메모리가 소요
- 인접 리스트(Adjacency List) : 연결된 정보만을 저장하기 때문에 메모리를 효율적으로 사용
속도 측면
- 인접 행렬(Adjacency Matrix) : 모든 경우의 수가 제시되어 있으므로 인접 리스트보다 빠르다.
- 인접 리스트(Adjacency List) : 연결된 데이터를 하나씩 확인해야 하기 때문에 인접 행렬 방식에 비해 정보를 얻는 속도가 느리다.
DFS 동작 과정
- 탐색 시작 노드를 스택에 삽입하고 방문 처리를 한다.
- 스택의 최상단 노드에 방문하지 않은 인접 노드가 있으면, 그 인접 노드를 스택에 넣고 방문 처리를 한다. 방문하지 않은 인접노드가 없으면 스택에서 최상단 노드를 꺼낸다.
- 2번의 과정을 더 이상 수행할 수 없을 때까지 반복한다.
cf) 방문처리 : 스택에 한 번 삽입되어 처리된 노드가 다시 삽입되지 않게 체크하는 것을 의미한다. 방문처리를 함으로써 각 노드를 한 번씩만 처리할 수 있다.

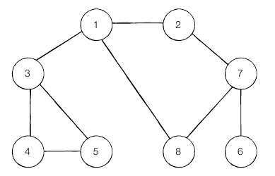
위 그래프의 순서는 1 → 2 → 7 → 6 → 8 → 3 → 4 → 5 가 된다.
깊이 우선 탐색 알고리즘 DFS는 스택 자료구조에 기초한다는 점에서 구현이 간단하다. 탐색을 수행함에 있어서 데이터의 개수가 N개인 경우 O(N)의 시간이 소요된다. 재귀 함수로 간결하게 구현할 수 있다.
# DFS 메서드 정의
def dfs(graph, v, visited):
# 현재 노드를 방문 처리
visited[v] = True
print(v, end=' ')
# 현재 노드와 연결된 다른 노드를 재귀적으로 방문
for i in graph[v]:
if not visited[i]:
dfs(graph, i, visited)
# 각 노드가 연결된 정보를 리스트 자료형으로 표현(2차원 리스트)
graph = [
[], # 0번 노드에 연결된 노드 리스트
[2, 3, 8], # 1번 노드에 연결된 노드 리스트
[1, 7], # 2번 노드에 연결된 노드 리스트
[1, 4, 5], # 3번 노드에 연결된 노드 리스트
[3, 5], # 4번 노드에 연결된 노드 리스트
[3, 4], # 5번 노드에 연결된 노드 리스트
[7], # 6번 노드에 연결된 노드 리스트
[2, 6, 8], # 7번 노드에 연결된 노드 리스트
[1, 7] # 8번 노드에 연결된 노드 리스트
]
# 각 노드가 방문된 정보를 리스트 자료형으로 표현(1차원 리스트)
visited = [False] * 9
# 정의된 DFS 함수 호출
dfs(graph, 1, visited)
# 1 2 7 6 8 3 4 5
문제 : 음료수 얼려 먹기
N ⅹ M 크기의 얼음 틀이 있다. 구멍이 뚫려 있는 부분은 0, 칸막이가 존재하는 부분은 1로 표시된다. 구멍이 뚫려 있는 부분끼리 상, 하, 좌, 우로 붙어 있는 경우 서로 연결되어 있는 것으로 간주한다. 이때 얼음 틀의 모양이 주어졌을 때 생성되는 총 아이스크림의 개수를 구하는 프로그램을 작성하시오. 다음의 4 ⅹ 5 얼음 틀 예시에서는 아이스크림이 총 3개 생성된다.

n, m = map(int, input().split())
# 2차원 리스트의 맵 정보 입력받기
graph = []
for i in range(n):
graph.append(list(map(int, input())))
# DFS로 특정한 노드를 방문한 뒤에 연결된 모든 노드들도 방문
def dfs(x, y):
# 주어진 범위를 벗어나는 경우에는 즉시 종료
if x <= -1 or x >= n or y <= -1 or y >= m:
return False
# 현재 노드를 아직 방문하지 않았다면
if graph[x][y] == 0:
# 해당 노드 방문 처리
graph[x][y] == 1
# 상, 하, 좌, 우의 위치도 모두 재귀적으로 호출
dfs(x - 1, y)
dfs(x, y - 1)
dfs(x + 1, y)
dfs(x, y + 1)
return True
return False
# 모든 노드(위치)에 대하여 음료수 채우기
result = 0
for i in range(n):
for j in range(m):
if dfs(i, j) == True:
result += 1
print(result)
'이것이 코딩테스트다'를 읽고 공부한 내용을 바탕으로 작성하였습니다.
'Python > 이것이 코딩테스트다' 카테고리의 다른 글
| [Python] 11. BFS (0) | 2022.11.22 |
|---|---|
| [Python] 09. 스택, 큐, 재귀 함수 (0) | 2022.11.21 |
| [Python] 8. 구현 (0) | 2022.11.17 |
| [Python] 7. 그리디 (0) | 2022.11.15 |
| [Python] 6. 순열과 조합 (0) | 2022.11.14 |